Exemples de contributions reçues ....
avec l'accord des contributeurs
27/04/2021 - TG spécialité - 18h00
Hermine (TG Expert - RODEZ), a quelques soucis avec le domaine de définition des logarithmes.
14/04/2021 - 1eG spécialité - 14h45
Flavia (1eG Spécialité - ANGOULEME), m'indique que son prof., pour les faire chercher, ne leur a donné aucune information pour résoudre cet exercice.
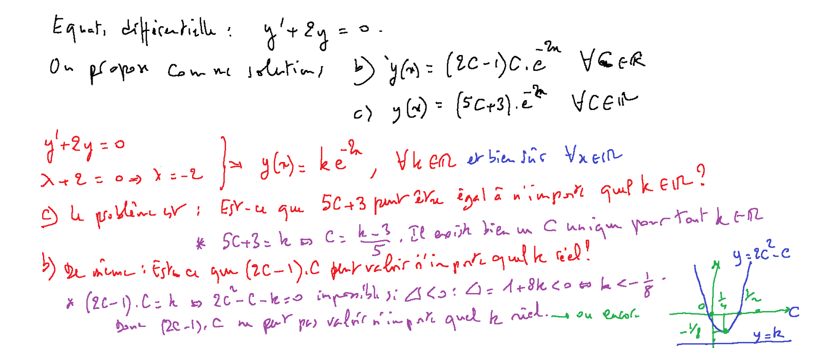
09/04/2021 - TG spécialité - 14h11
Alexandre (TG Spécialité - PARIS) me demande de l'aide sur l'interprétation de la bonne réponse attendue à un QCM sur le équations différentielles.
07/04/2021 - 2nde - 18h35
Elisa (2nde - PONTOISE) me demande de l'aide sur la nécessaire factorisation d'une inéquation avant d'établir son tableau de signes.
Devant ses difficultés à comprendre la méthode, nous avons organisé une visio de 1h le lendemain sur ce thème.










